
A greedy approach
- Pi/Wi를 내림차순으로 정렬한다.(Greedy)
- knapsack이 찰 때까지 item을 고른다.

Implementation 1
- Sort the item -> O(nlogn)
- Repeat the choice -> O(n)
O(n+nlogn) = O(n logn)
Implementation 2
- Put the items in a heap -> O(n)
- Repeat the choice -> O(k logn)
O(n+k logn) = ?
Implementation2 방식으로 하면 k값에 따라 시간복잡도가 달라진다.
확실한 것은 가장 최악이 O(n logn)으로 Implementation1 방식보다 훨씬 효율적이다.
Knapsack Example 2: n=6, W=10

Huffman Coding
- Data compression
- Data compression can save storage space for files.
- Huffman coding is just one of many data compression techniques.
- Problem
- Given a file, find a binary character code for the characters in the file, which represents the file in the least number of bits.
변환의 목적은 크기를 줄이는 것이므로, character를 변환을 할 때, 반드시 최소의 bit를 사용하도록 한다.
- Example
- Original text file : ababcbbbc
- Huffman codes : a = 10, b = 0, c =11
- Compressed file : 1001001100011
여기서 b가 가장 빈도수가 높으므로 1개의 bit만을 할당하였다.
a = 01, b = 0, c = 11로 한다면 01....이런 코드를 보았을 때, 0 (b)로 읽어야 하는지 01(a)로 읽어야하는지 헷갈리게 된다. (Ambiguous하다)
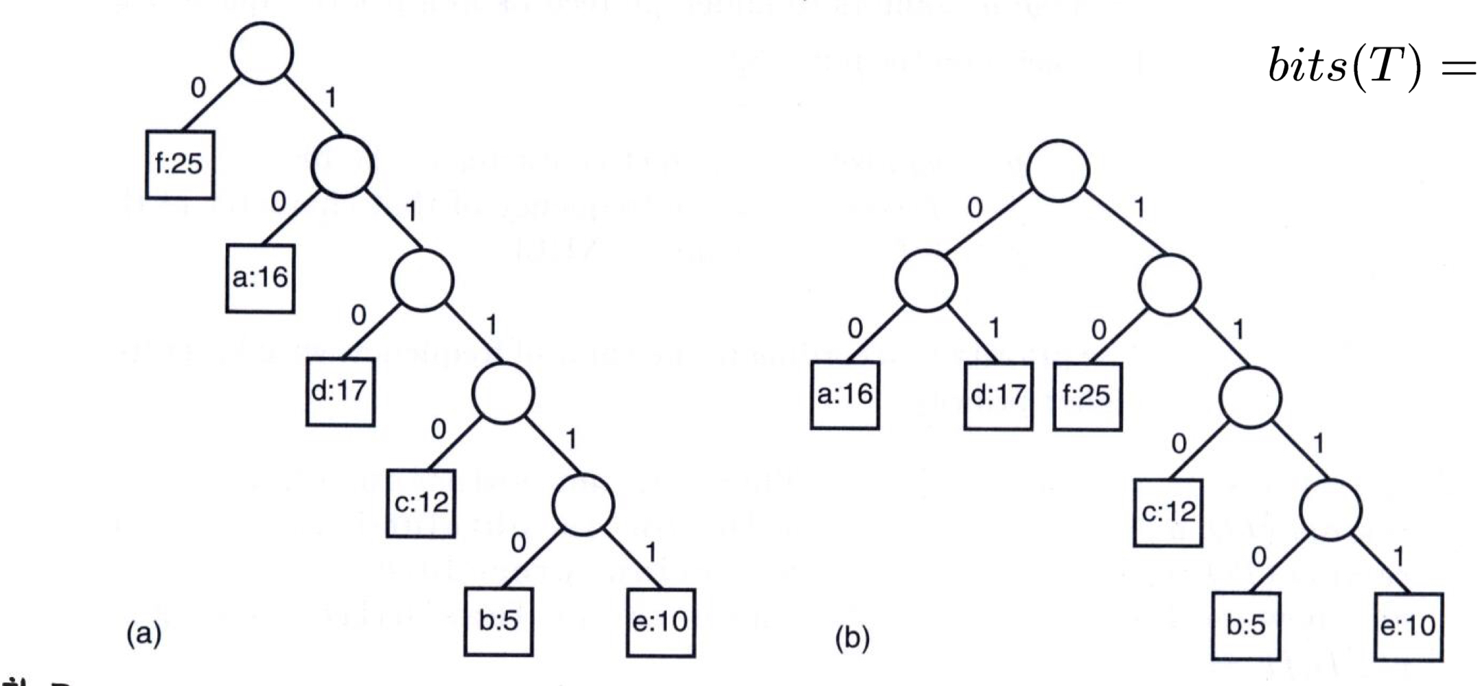
Prefix Codes
코드를 unambiguous하게 만들려면 각각의 character에 할당되는 bit들이 다른 character의 prefix(접두사)가 되면 안된다.
ex) a=01, b = 010 X

위 처럼 binary tree를 이용하면 prefix를 겹치지 않게하여 각각의 character에 bit를 할당 할 수 있다.

bit들이 주어지고 bit를 해석하는 binary tree가 주어졌을 때, 총 cost는 freq(vi)*depth(vi)가 된다.
여기서 freq는 vi가 몇 번 나타나는지를 depth는 vi의 bit개수를 의미한다.

(0)번 처럼 character와 frequcency가 주어진 리스트가 주어지면 frequency를 기준으로 min_heap을 만든다.
그리고 min_heap에서 하나씩 값을 빼면서 (1)~(5)번 과정처럼 tree를 만들어 준다.
min_heap을 만드는데 시간복잡도는 O(n) 그리고 n개를 뽑아내는데 O(nlogn)이므로 총 비용은 O(n+nlogn) = O(nlogn)이 된다.
'3-2 > 알고리즘설계와분석' 카테고리의 다른 글
| Intractable Problem (0) | 2021.11.12 |
|---|---|
| Knapsack Problem (0) | 2021.11.05 |
| The Gapped Alignment Problem, Longest Increasing Subsequence (0) | 2021.11.05 |
| The Checkerboard Problem, Longest Common Subsequence (0) | 2021.11.05 |
| The Manhattan Tourist Problem, Chained Matrix Multiplication (0) | 2021.10.21 |