The Checkerboard Problem

cost table이 위와 같이 주어졌을 때, i=1에서 i=5까지 움직일 때, 최솟값을 찾는 문제이다.
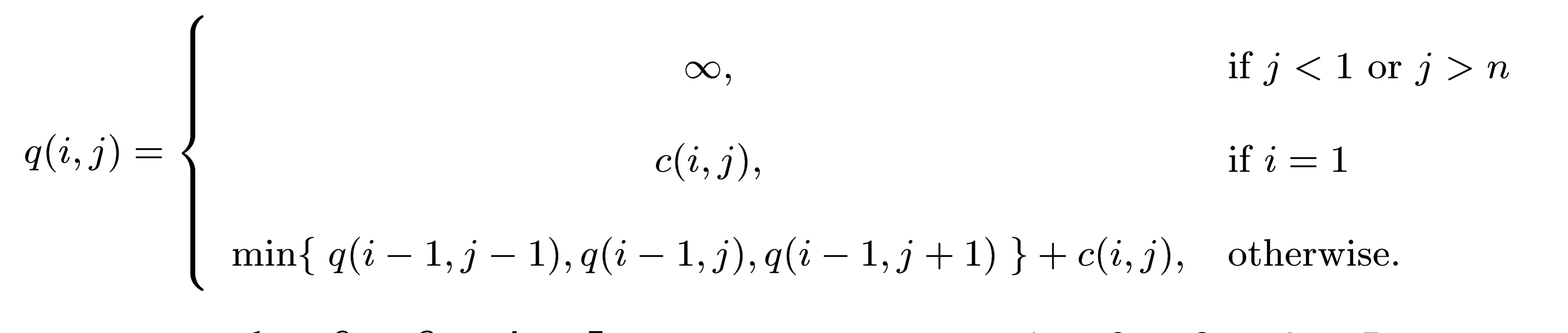
q(i,j) : the minimum cost to reach squrare(i,j)라고 할 때,

로 식을 짜게 되면 q[i][j]에는 최소값이 선언되게 된다.
table P도 만들어서 어디서 왔는지 알려주면 된다.
#include <stdio.h>
#define N 5
#define INFTY 100000
int c[N+1][N+2] = {-1,-1,-1,-1,-1,-1,-1,
-1, 7, 3, 5, 6, 1,-1,
-1, 2, 6, 7, 0, 2,-1,
-1, 3, 5, 7, 8, 2, -1,
-1, 7, 6, 1, 1, 4, -1,
-1, 6, 7, 4, 7, 8, -1};
int p[N+1][N+2], q[N+1][N+2];
void ComputeCBCosts(int n){
int i,j, m;
for(i=1;i<=n;i++) q[1][i]=c[1][i];
for(i=1;i<=n;i++){
q[i][0]=INFTY;
q[i][n+1]=INFTY;
}
for(i=2;i<=n;i++){
for(j=1;j<=n;j++){
m=q[i-1][j-1];
if(m>q[i-1][j]) m=q[i-1][j];
if(m>q[i-1][j+1]) m=q[i-1][j+1];
q[i][j]=m+c[i][j];
if(m==q[i-1][j-1]) p[i][j]=-1;
else if(m==q[i-1][j]) p[i][j]=0;
else p[i][j] = 1;
}
}
}
void PrintShortestPath(int n,int imin){
printf(" (%d, %d) <-",n,imin);
if(n==2) printf(" (%d, %d)\n",1,imin+p[n][imin]);
else PrintShortestPath(n-1,imin+p[n][imin]);
}
void ComputeCBShortestPath(int n){
int i,imin, m;
ComputeCBCosts(n);
imin=1;m=q[n][1];
for(i=2;i<=n;i++){
printf("%d ",q[n][i]);
if(q[n][i]<m){
imin=i;
m=q[n][i];
}
}
printf("*** The cost of the shortest path is %d.\n",q[n][imin]);
PrintShortestPath(n,imin);
}
void main(void){
int n;
n=N;
ComputeCBShortestPath(n);
}
Longest Common Subsequence
LCS는 두 문자열이 주어졌을 때, 가장 길게 겹치는 subsequence를 찾아야 하는 문제이다.
ex) X=<A,B,C,B,D,A,B>, Z=<B,C,D,B> LSC = <B,C,D,B> (2,3,5,7)
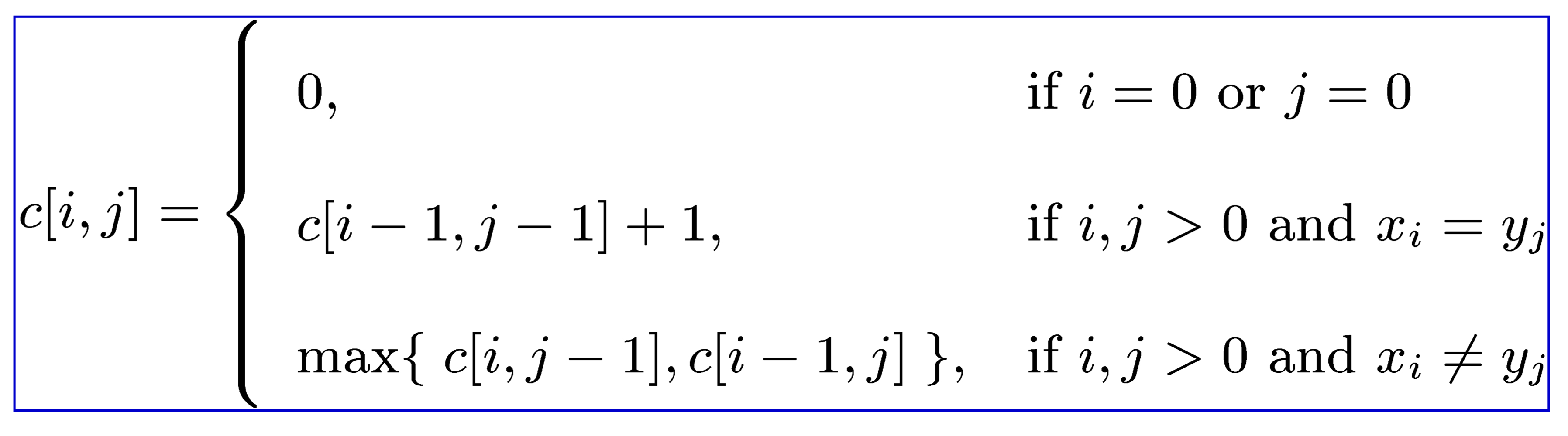
X = <x1,x2,...,xm> 그리고 Y=<y1,y2,...,yn>이라고 할 때, 마지막이 같을 때와 마지막이 다를 때, 두가지의 경우로 모든 경우를 표현할 수 있다.

따라서 Xm=Yn인 경우에 왼쪽 대각선에서 값을 가져오면 되고, Xm≠Yn인 경우에는 왼쪽 또는 위에서 더 큰 값을 가져오면 된다.

#include <stdio.h>
#include <stdlib.h>
#include <string.h>
char* LCS(char* a, char* b);
#define NEITHER 0
#define UP 1
#define LEFT 2
#define UP_AND_LEFT 3
int main(int argc, char* argv[]) {
printf("%s\n", LCS(argv[1],argv[2]));
}
char* LCS(char* a, char* b) {
int n = strlen(a); int m = strlen(b); int** S; int** R; int ii; int jj;
int pos; char* lcs;
S = (int **)malloc( (n+1) * sizeof(int *) );
R = (int **)malloc( (n+1) * sizeof(int *) );
for (ii = 0; ii <= n; ++ii) {
S[ii] = (int*) malloc( (m+1) * sizeof(int) );
R[ii] = (int*) malloc( (m+1) * sizeof(int) );
}
for (ii = 0; ii <= n; ++ii) {
S[ii][0] = 0; R[ii][0] = UP;
}
for (jj = 0; jj <= m; ++jj) {
S[0][jj] = 0; R[0][jj] = LEFT;
}
for (ii = 1; ii <= n; ++ii) {
for (jj = 1; jj <= m; ++jj) {
if ( a[ii-1] == b[jj-1] ) {
S[ii][jj] = S[ii-1][jj-1] + 1;
R[ii][jj] = UP_AND_LEFT;
}
else {
S[ii][jj] = S[ii-1][jj-1] + 0; R[ii][jj] = NEITHER;
}
if ( S[ii-1][jj] >= S[ii][jj] ) {
S[ii][jj] = S[ii-1][jj];
R[ii][jj] = UP;
}
if ( S[ii][jj-1] >= S[ii][jj] ) {
S[ii][jj] = S[ii][jj-1];
R[ii][jj] = LEFT;
}
}
}
ii = n;
jj = m;
pos = S[ii][jj];
lcs = (char *) malloc( (pos+1) * sizeof(char) );
lcs[pos--] = (char)NULL;
while ( ii > 0 || jj > 0 ) {
if( R[ii][jj] == UP_AND_LEFT ) {
ii--; jj--;
//거꾸로 넣는다
lcs[pos--] = a[ii];
}
else if ( R[ii][jj] == UP ) {
ii--;
}
else if ( R[ii][jj] == LEFT ) {
jj--;
}
}
for (ii = 0; ii <= n; ++ii ) {
free(S[ii]);
free(R[ii]);
}
free(S);
free(R);
return lcs;
}'3-2 > 알고리즘설계와분석' 카테고리의 다른 글
| Knapsack Problem (0) | 2021.11.05 |
|---|---|
| The Gapped Alignment Problem, Longest Increasing Subsequence (0) | 2021.11.05 |
| The Manhattan Tourist Problem, Chained Matrix Multiplication (0) | 2021.10.21 |
| Improving selection (0) | 2021.10.15 |
| Improving the Perfromance of Quick Sort (0) | 2021.10.14 |