
위와 같은 문제가 있다고 하자.
위 식을 divde-and-conquer로 풀게 되면
1 (i=0,j>0)
P(i,j)= 0 (i>0,j=0)
(P(i-1,j)+P(i,j-1))/2 이 되고
T(n) = 2*T(n-1) + c가 되므로 O(2^n)이 되게 된다.
이를 해결하기 위해서는 중복된 값을 계산하지 않는 Dynamic Programming을 사용하면 된다.

Source에서 sink까지 갈 때, 어떻하면 최댓값으로 갈 수 있을까?
경우의 수는 총 2^n*2^m으로 exponential하다.
하지만 직전의 것과만 비교하면 경우의 수가 n*m개로 줄게 된다.

DP에서는 직전값들끼리 비교를하기 때문에 초깃값을 설정해주어야 한다. 2,3번은 초기값을 넣어준다는 말이다.
1 번은 직전것들끼리 비교하여 최댓값을 고른다는 뜻이다.

시간복잡도는 O(n*m)이 된다.
Chained Matrix Multiplication

행렬의 곱셈에서 무엇을 먼저 계산하는지에 따라 연산횟수가 달라진다.

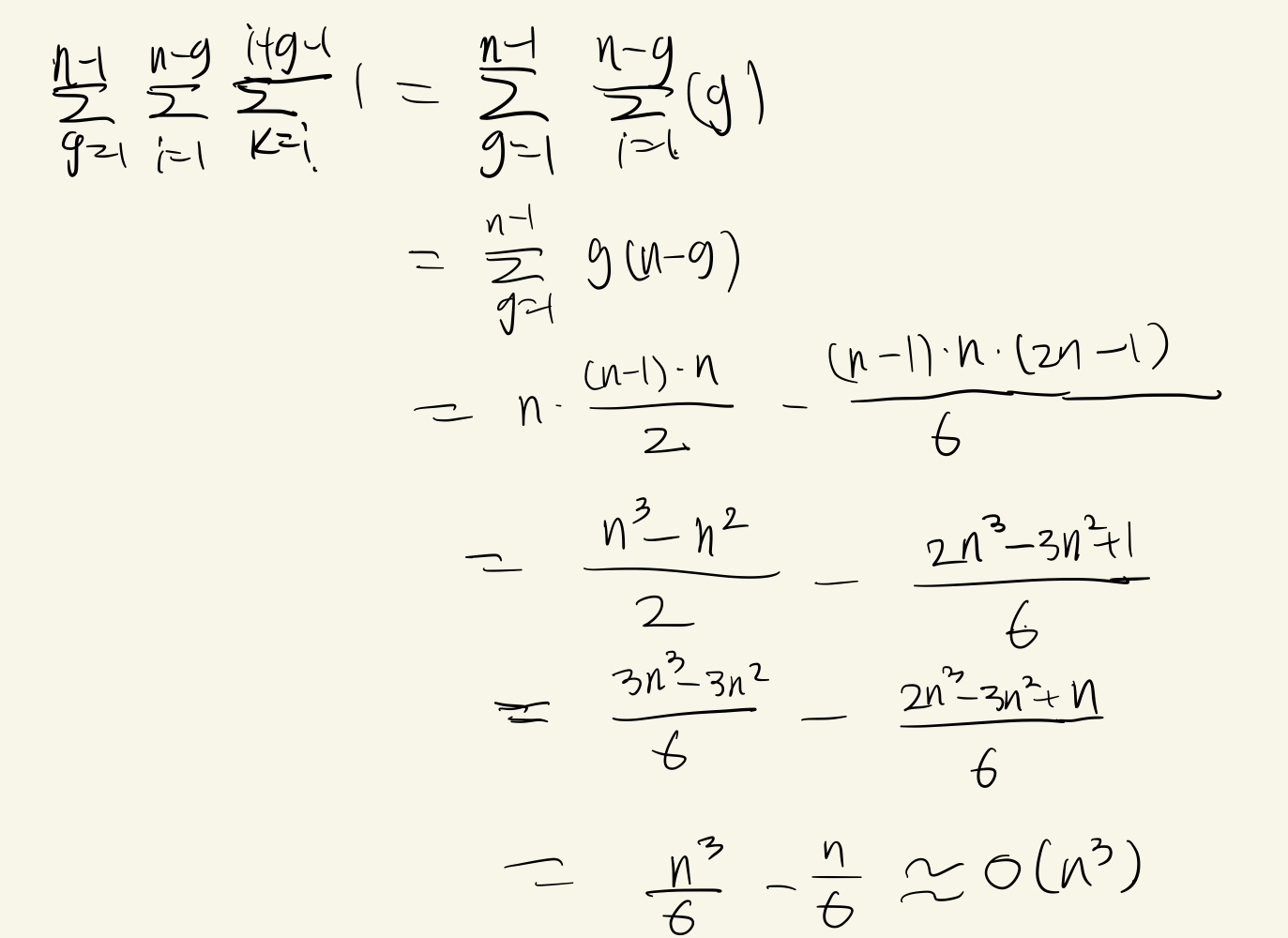
Table의 대각선에 초기값을 설정하고, A2*A7(i=2,j=7)을 구하고 싶다면 위처럼 색칠한 부분만 구하면 된다. 단, 한칸 움직일 때마다 반복문이 i에서 j-1번까지 돈다.

'3-2 > 알고리즘설계와분석' 카테고리의 다른 글
| The Gapped Alignment Problem, Longest Increasing Subsequence (0) | 2021.11.05 |
|---|---|
| The Checkerboard Problem, Longest Common Subsequence (0) | 2021.11.05 |
| Improving selection (0) | 2021.10.15 |
| Improving the Perfromance of Quick Sort (0) | 2021.10.14 |
| chap3-2 Quick Sort (0) | 2021.10.05 |