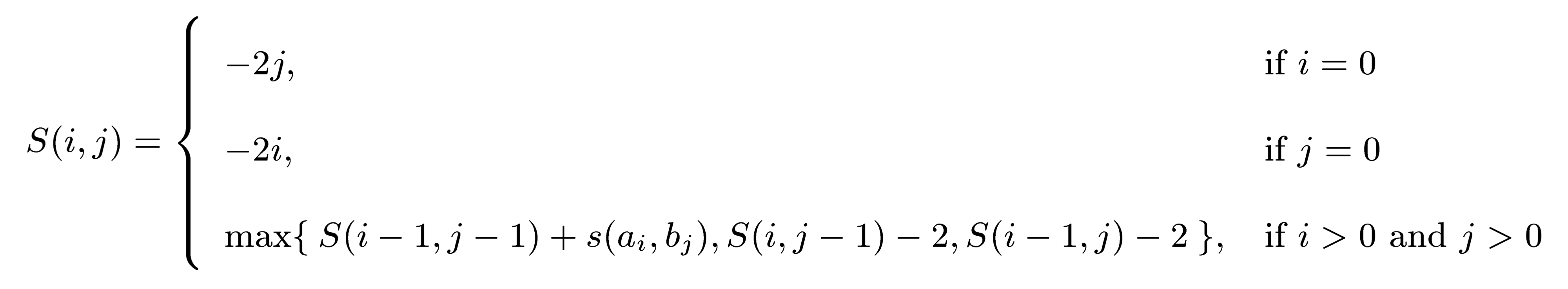
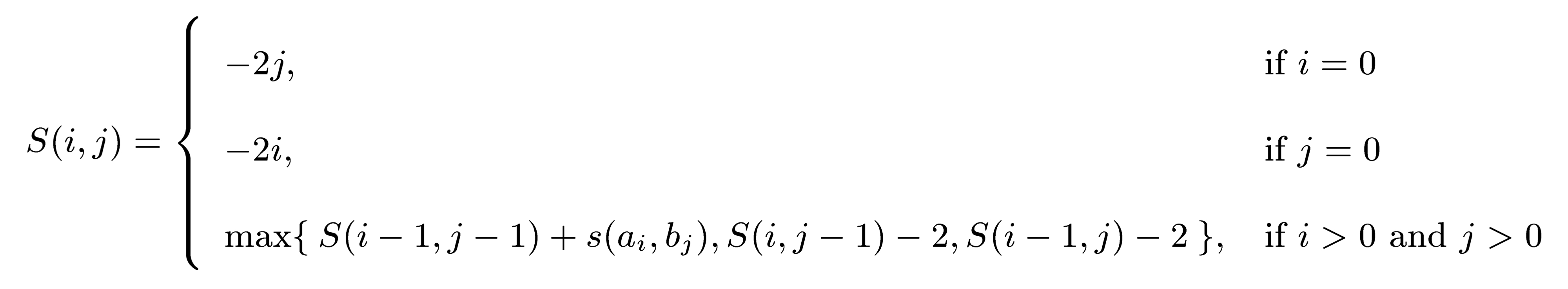
The Gapped Alignment Problem
두개의 문자열이 주어졌을 때, score을 최대화하는 gapped alignment를 구하여라.

match라면 1점, mismatch라면 -1점, gap이라면 -2점을 준다.
두개의 문자열이 주어졌을 때, Gapped Alignment가 생성되는 방법의 수는 3가지로 나오게 된다.(문자열 A,B가 있다고 가정)
1. 두 문자를 match하는 경우( 문자가 다를 수도 있음)
2. A의 문자열에 gap을 넣는 경우
3. B의 문자열에 gap을 넣는 경우

위를 식으로 표현하면 다음과 같다.

#include <iostream>
#include <string>
using namespace std;
// function to find out the minimum penalty
void getMinimumPenalty(string x, string y, int pxy, int pgap)
{
int i, j; // initialising variables
int m = x.length();
int n = y.length();
// table for storing optimal substructure answers
int dp[256][256]={0};
// initialising the table
for (i = 0; i <= (n+m); i++)
{
dp[i][0] = i * pgap;
dp[0][i] = i * pgap;
}
int cnt=0;
// calculating the minimum penalty
for (i = 1; i <= m; i++)
{
for (j = 1; j <= n; j++)
{
if (x[i - 1] == y[j - 1])
{
dp[i][j] = dp[i - 1][j - 1];
}
else
{
dp[i][j] = min(dp[i - 1][j - 1] + pxy ,min(dp[i - 1][j] + pgap, dp[i][j - 1] + pgap));
}
}
}
// Reconstructing the solution
int l = n + m; // maximum possible length
i = m; j = n;
int xpos = l;
int ypos = l;
// Final answers for the respective strings
int xans[l+1], yans[l+1];
while ( !(i == 0 || j == 0))
{
if (x[i - 1] == y[j - 1])
{
xans[xpos--] = (int)x[i - 1];
yans[ypos--] = (int)y[j - 1];
cnt++;
i--; j--;
}
else if (dp[i - 1][j - 1] + pxy == dp[i][j])
{
xans[xpos--] = (int)x[i - 1];
yans[ypos--] = (int)y[j - 1];
i--; j--;
}
else if (dp[i - 1][j] + pgap == dp[i][j])
{
xans[xpos--] = (int)x[i - 1];
yans[ypos--] = (int)'_';
i--;
}
else if (dp[i][j - 1] + pgap == dp[i][j])
{
xans[xpos--] = (int)'_';
yans[ypos--] = (int)y[j - 1];
j--;
}
}
while (xpos > 0)
{
if (i > 0) xans[xpos--] = (int)x[--i];
else xans[xpos--] = (int)'_';
}
while (ypos > 0)
{
if (j > 0) yans[ypos--] = (int)y[--j];
else yans[ypos--] = (int)'_';
}
// Since we have assumed the answer to be n+m long,
// we need to remove the extra gaps in the starting
// id represents the index from which the arrays
// xans, yans are useful
int id = 1;
for (i = l; i >= 1; i--)
{
if ((char)yans[i] == '_' && (char)xans[i] == '_')
{
id = i + 1;
break;
}
}
// Printing the final answer
cout << "Maximum score in aligning the genes = ";
cout << cnt*2-dp[m][n] << "\n";
cout << "The aligned genes are :\n";
for (i = id; i <= l; i++)
{
cout<<(char)xans[i];
}
cout << "\n";
for (i = id; i <= l; i++)
{
cout << (char)yans[i];
}
return;
}
// Driver code
int main(int argc, char* argv[]){
// input strings
string gene1 = argv[1];
string gene2 = argv[2];
// initialising penalties of different types
int misMatchPenalty = 1;
int gapPenalty = 2;
// calling the function to calculate the result
getMinimumPenalty(gene1, gene2,
misMatchPenalty, gapPenalty);
return 0;
}
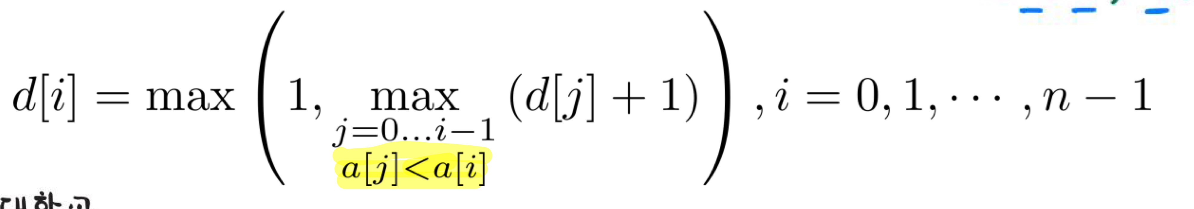
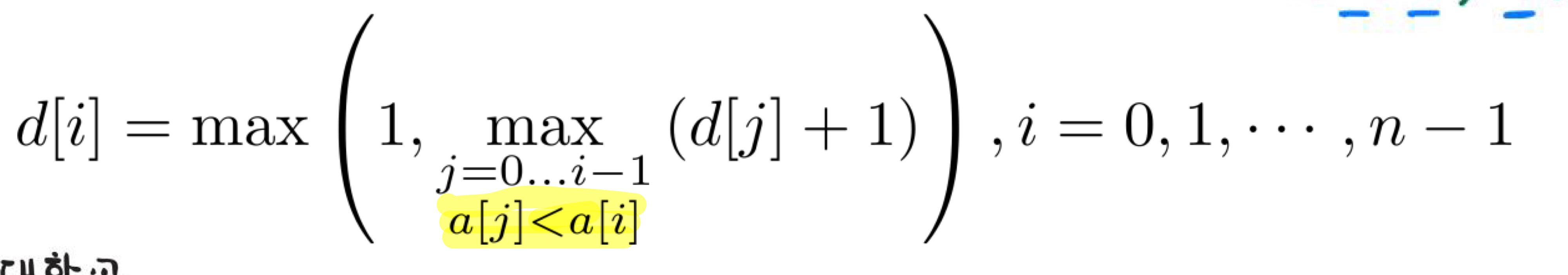
Longest Increasing Subsequence (LIS)
문자열이 주어졌을 때, 가장 긴 문자열을 구해야 한다.
예를 들어,
(10,22,9,33,21,50,41,60,80) -> (10,22,33,50,60,80) 이 된다.

a[j]<a[i]인 경우 중 가장 큰 d[j]값을 찾아서 1을 더해주면 LIS의 크기를 구할 수 있다.
#include <stdio.h>
#include <stdlib.h>
int LIS( int* a, int N ) {
int *best, *prev, i, j, max = 0;
best = (int*) malloc ( sizeof( int ) * N );
prev = (int*) malloc ( sizeof( int ) * N );
for ( i = 0; i < N; i++ ) best[i] = 1, prev[i] = i;
for ( i = 1; i < N; i++ )
for ( j = 0; j < i; j++ )
if ( a[i] > a[j] && best[i] < best[j] + 1 )
best[i] = best[j] + 1, prev[i] = j;
for ( i = 0; i < N; i++ )
if ( max < best[i] ) max = best[i];
// Print the LIS using prev[] here. free( best ); free( prev );
return max;
}
int main(){
int a[] = {10,22,9,33,21,50,41,60,80};
for(int i=0;i<sizeof(a)/sizeof(int);i++) printf("%d ",a[i]);
putchar('\n');
printf("%d",LIS(a,sizeof(a)/sizeof(int)));
}'3-2 > 알고리즘설계와분석' 카테고리의 다른 글
| Intractable Problem (0) | 2021.11.12 |
|---|---|
| Knapsack Problem (0) | 2021.11.05 |
| The Checkerboard Problem, Longest Common Subsequence (0) | 2021.11.05 |
| The Manhattan Tourist Problem, Chained Matrix Multiplication (0) | 2021.10.21 |
| Improving selection (0) | 2021.10.15 |