Knapsack Problem

예를 들어 다음과 같은 option이 있고 이에 대한 Cost 와 Expected reach가 있다고 하자. 주어진 예산이 W가 될 것이고, Cost는 정의에서 w가 될 것이고 Expected reach는 p가 된다.

Knapsack에서는 정해진 W를 넘지 않은 채로, Expected reach를 최대화 하는 것이 목적이다.
간단히 말하자면 주어진 예산 안에서 사람들이 최대한 많이 볼 수 있게 하는 것이 목적이다.
Dynamic programming approach
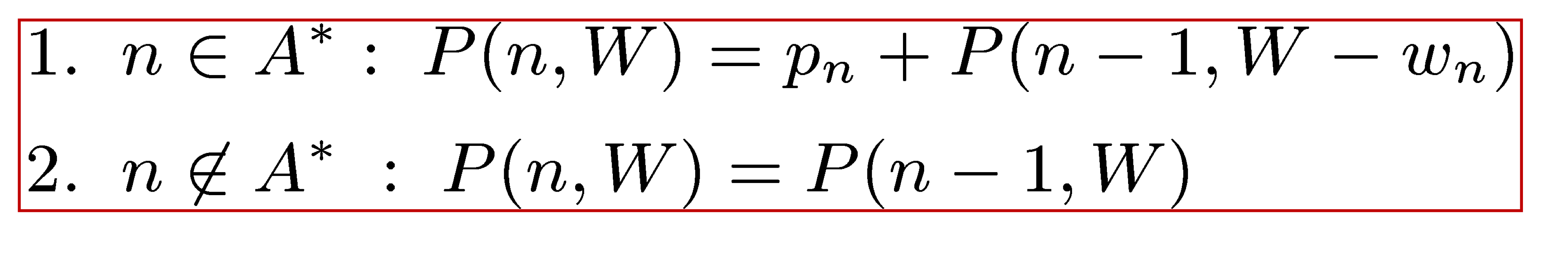
P(i,w)를 maximized profit, A*를 optimal subset이라고 가정하자.

그렇게 되면 위 처럼 두가지로 optimal subset에 포함되는 경우와 포함되지 않는 경우로 모든 경우의 수를 표현 할 수 있게 된다.
위를 가지고 Optimal substructure를 구현하면 다음과 같다.

#include <stdio.h>
#include <stdlib.h>
void PRINT_ITEM(int **Q, int *w, int n, int W, int op) {
if (W == 0)
return;
if (Q[n][W] == 1) {
PRINT_ITEM(Q, w, n - 1, W - w[n], 0);
if (op) printf("%d\n", n);
else printf("%d, ", n);
}
else
PRINT_ITEM(Q, w, n - 1, W, 0);
}
int zero_one_knapsack(int* p, int* w, int n, int W) {
int i, ww, tmp;
int** P, ** Q;
P = (int**)malloc(sizeof(int*) * (n + 1));
Q = (int**)malloc(sizeof(int*) * (n + 1));
for (i = 0; i <= n; i++) {
P[i] = (int*)malloc(sizeof(int) * (W + 1));
Q[i] = (int*)malloc(sizeof(int) * (W + 1));
}
for (ww = 0; ww <= W; ww++)
P[0][ww] = 0, Q[0][ww] = 0;
for (i = 1; i <= n; i++) {
P[i][0] = 0, Q[i][0] = 0;
for (ww = 1; ww <= W; ww++) {
if (w[i] <= ww) {
if ((tmp = p[i] + P[i - 1][ww - w[i]]) > P[i - 1][ww]) {
P[i][ww] = tmp;
Q[i][ww] = 1;
}
else {
P[i][ww] = P[i - 1][ww];
Q[i][ww] = 0;
}
}
else {
P[i][ww] = P[i - 1][ww];
Q[i][ww] = 0;
}
}
}
PRINT_ITEM(Q, w, n, W, 1);
return P[n][W];
}
int main(int argc, char* argv[])
{
int* p, * w;
int i, N, W;
scanf("%d %d", &N, &W);
p = (int*)malloc(sizeof(int) * (N + 1));
w = (int*)malloc(sizeof(int) * (N + 1));
for (i = 1; i <= N; i++) {
scanf("%d %d", w + i, p + i);
}
printf("%d\n", zero_one_knapsack(p, w, N, W));
return 0;
}'3-2 > 알고리즘설계와분석' 카테고리의 다른 글
| The Fractional Knapsack Problem,Huffman Coding (0) | 2021.11.16 |
|---|---|
| Intractable Problem (0) | 2021.11.12 |
| The Gapped Alignment Problem, Longest Increasing Subsequence (0) | 2021.11.05 |
| The Checkerboard Problem, Longest Common Subsequence (0) | 2021.11.05 |
| The Manhattan Tourist Problem, Chained Matrix Multiplication (0) | 2021.10.21 |