CLR parser
SLR parser는 reduce item [A->ɑ·]에 대해서, FOLLOW(A)에는 속하지만 nonterminal A 다음에 나오지는 않는 기호들이 존재할 때 파싱이 불가능해진다.이를 해결하기 위해 Lookahead와 LR(1)을 이용한 CLR parser를 사용해야 한다.
Lookahead : 한 state에서 어떤 논터미널 기호 다음에 나올 수 있는 터미널 기호
LR(1) item : LR(0) item에 lookahead 정보를 첨가한 것
LR(1) item set의 Canonical collection C1
- CLOSURE 함수와 GOTO 함수가 필요
- GOTO 함수는 LR(0) item set의 canonical collection C0를 구할 때와 동일
- CLOSURE 함수는 lookahead 정보를 활용하는 다른 방식으로 구현
LR(1) item set I에 대한 CLOSURE function
CLOSURE(I)= I ∪ { [B->·𝛾,b] | [A->ɑ·Bβ,a] ∈ CLOSURE(I), B->𝛾∈P, b ∈ FIRST(βa) }
여기서 a는 lookahead를 의미하고 FIRST,FOLLOW 모두 구할 줄 알아야한다.
LR(1) item
- LR(1) item은 [A->ɑ·β,a] 형태이며, 여기서 A->ɑβ ∈ P이고, a ∈ { Vt ∪ $ }이다.
- 첫 번째 부분인 A->ɑ·β를 코어(core)라 하며, LR(0) item과 같은 의미이다.
- 두 번째 부분인 a를 lookahead라 하며, 코어가 reduce item일 때, 기호 a에 대해 감축 행동을 하라는 것이다.

3번째 production C-> cC로 수정

LR(1) item sets의 canonical collection을 구하는 것은 SLR과 같다.
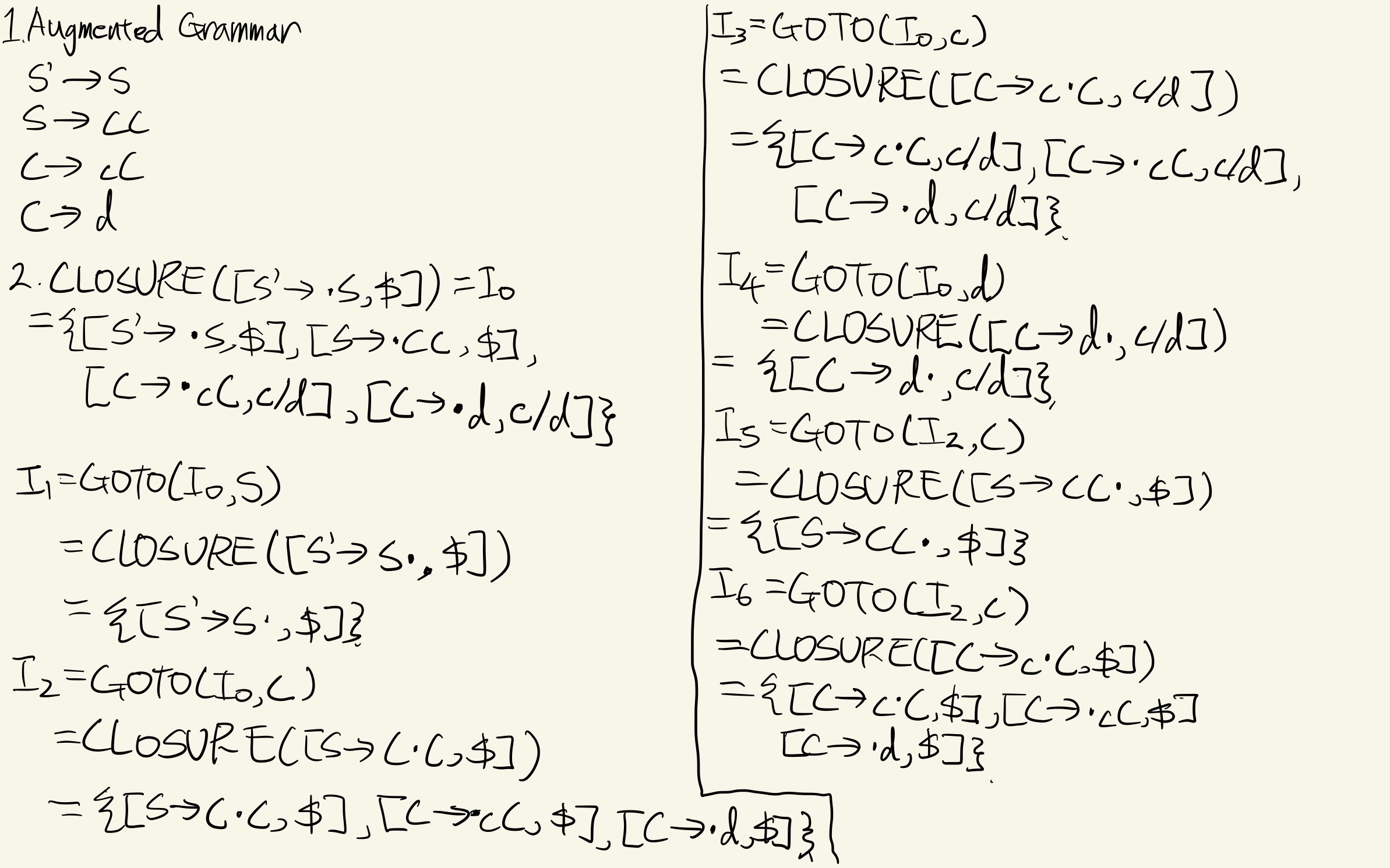
위의 문법의 LR(1) item sets의 canonical collection



CLR Parse Table
CLR Parse Table 만드는 법
1. G'에 대한 LR(1) item의 canonical collection C1={I0,I1,...,In}을 구성한다.
2. State i는 li 에서 구성되고, state i를 위한 parsing action은 다음과 같다.
- 만약 LR(1) item [A->ɑ·aβ,b]∈Ii, GOTO(Ii,a)=Ij이면 action 표의 M[i,a] = Shift j
- 만약 LR(1) item [A->ɑ·,a]∈Ii 이면 action 표의 M[i,a] = Reduce A-> ɑ
- 만약 LR(1) item [S'->S·,$]∈Ii이면 action 표의 M[i,$] = Accept
3. 만약 LR(1) item [A->ɑ·Bβ,a] ∈ Ii 이고 GOTO(Ii,B)=Ij이면 GOTO표의 M[i,B] = j
4. Augmented production rule의 LR(1) item [S'->·S,$]를 포함하는 state는 initial state.

| State | Action | GOTO | |||
| c | d | $ | S | C | |
| 0 | s1 | s4 | 1 | 2 | |
| 1 | acc | ||||
| 2 | s6 | s7 | 5 | ||
| 3 | s3 | s4 | 8 | ||
| 4 | r3 | r3 | |||
| 5 | r1 | ||||
| 6 | s6 | 9 | |||
| 7 | r3 | ||||
| 8 | r2 | r2 | |||
| 9 | r2 | ||||
Example

| Step | Stack | Input buffer | Parsing |
| 0 | 0 | ccdd$ | s3 |
| 1 | 0c3 | cdd$ | s3 |
| 2 | 0c3c3 | dd$ | s4 |
| 3 | 0c3c3d4 | d$ | r3 |
| 4 | 0c3c3C | d$ | GOTO 8 |
| 5 | 0c3c3C8 | d$ | r2 |
| 6 | 0c3C | d$ | GOTO 8 |
| 7 | 0c3C8 | d$ | r2 |
| 8 | 0C | d$ | GOTO 2 |
| 9 | 0C2 | d$ | s7 |
| 10 | 0C2d7 | $ | r3 |
| 11 | 0C2C | $ | GOTO 5 |
| 12 | 0C2C5 | $ | r1 |
| 13 | 0S | $ | GOTO 1 |
| 14 | 0S1 | $ | acc |
'3-2 > 기초컴파일러' 카테고리의 다른 글
| LALR (0) | 2021.11.14 |
|---|---|
| Bottom-up parsing (0) | 2021.11.06 |
| Recursive-decent, Predictive Parsing (0) | 2021.10.16 |
| Syntax Analysis (0) | 2021.10.16 |
| Pushdown Automata (0) | 2021.10.16 |