Merge Sort

Divide - merge sort에서 배열을 divide하는데 필요한 시간은 O(1)이다. (이미 배열의 index를 알고 있기 때문에)
Conquer - 각각의 subarray를 recursive하게 sorting한다. T(n) = 2T(n/2)+cn
Combine - 각각의 subarray를 merge하면서 sorted array로 바꿔준다. O(n)

void merge_sort(int *n, int left, int right){
int middle;
if(left<right){
middle=(left+right)/2;
//conquer T(n/2)
merge_sort(n,left,middle);
//comquer T(n/2)
merge_sort(n,middle+1,right);
//combine cn
merge(n,left,middle,right);
}
}
void merge(int *n, int left, int middle,int right){
int i,i_left,i_right;
//right,left 둘 다 포함하므로 +1을 해준다.
memcpy(buffer+left,n+left,sizeof(int)*(right-left+1));
i_left=left;
i_right=middle+1;
i=left;
while((i_left<=middle)&&(i_right<=right)){
if(buffer[i_left]<buffer[i_right]) n[i++]=buffer[i_left++];
else n[i++]=buffer[i_right++];
}
while(i_left<=middle) n[i++]=buffer[i_left++];
while(i_right<=right) n[i++]=buffer[i_right++];
}


merge sort의 경우 최악의 경우에도 시간복잡도는 O(NlogN)이 나온다.

만약에 merge sort에서 n을 10 과 n-10으로 나누어서 계산한다면 트리의 깊이가 n/10이 되므로 시간복잡도는 O(n^2)이 될 것이다.
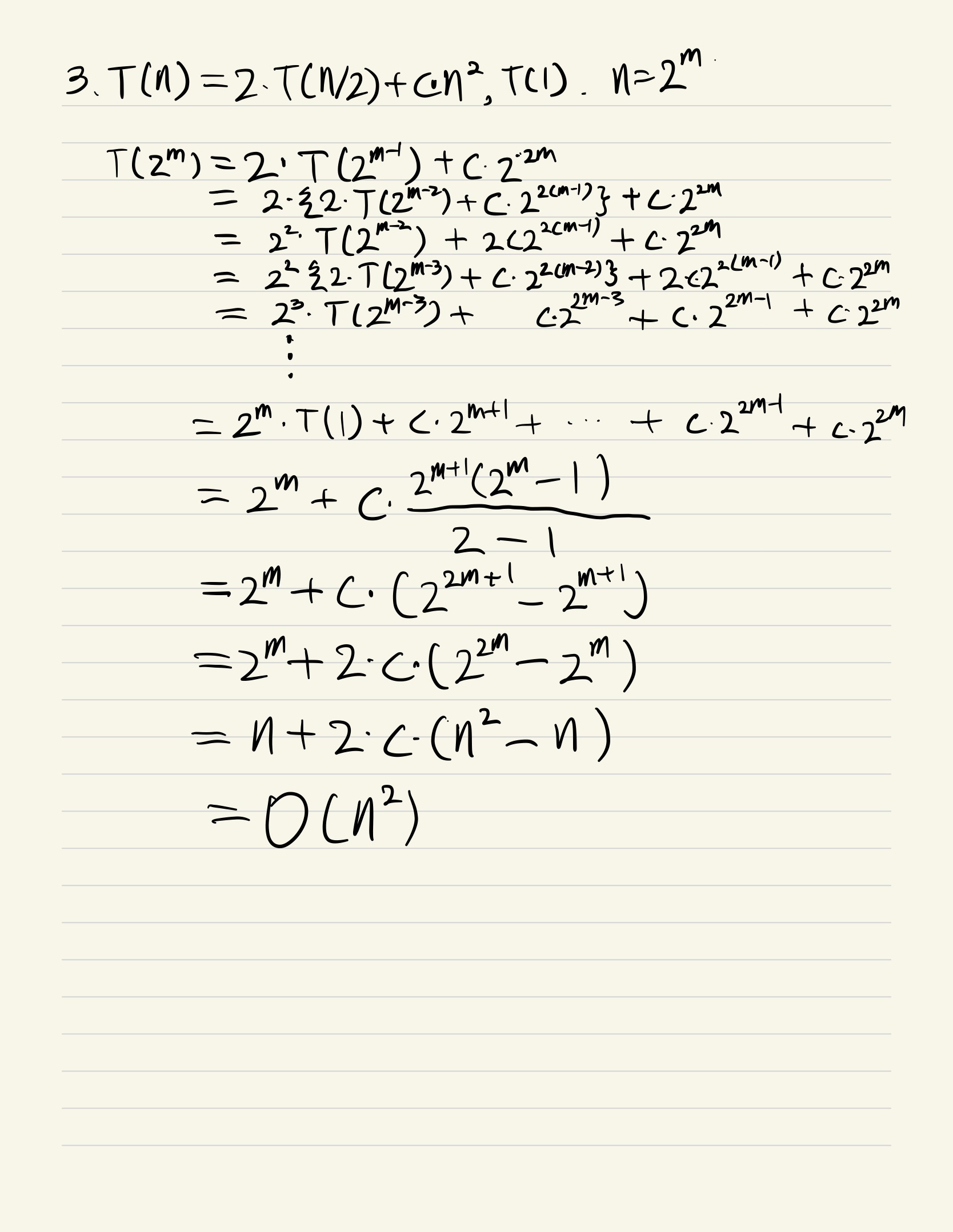
Some Derivations


'3-2 > 알고리즘설계와분석' 카테고리의 다른 글
| Improving the Perfromance of Quick Sort (0) | 2021.10.14 |
|---|---|
| chap3-2 Quick Sort (0) | 2021.10.05 |
| chater2 Max(Min) Heap (0) | 2021.09.28 |
| chapter1-3 (0) | 2021.09.24 |
| chapter1-2 (0) | 2021.09.15 |